Sunday, September 6, 2015
Home »
જુનાગઢ જીલ્લાના પરીપત્રો
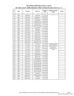
» જુનાગઢ જીલ્લા પ્રા.શાલાઓનૂ વર્ષ2015-16 નુ ઈન્સપેકશન આયોજન જાહેર
જુનાગઢ જીલ્લા પ્રા.શાલાઓનૂ વર્ષ2015-16 નુ ઈન્સપેકશન આયોજન જાહેર
By GUJARAT UPDATE Sunday, September 06, 2015
Aadhar Card ,ADHYAYAN NISHPATI ,BIRTHDAY,BPL List, circular, COVIND-19 D.EL.ED (NIOS) STUDY MATERIAL , DAILY CURRENT AFFAIRS FILE DOWNLOAD,Digital BOOK , education gr,EDUCATION POLICY 2020, English poem,STD 5 To 8 GK, GPSC EXAM, GTU CCC METIRIAL, GUNOTSAV-7 PEPAR , GUNOTSAV-8 PEPAR , Gyaan spatah, GYANKUNJ PROJECT,Health Tips,HINDI VYAKARAN ,SHIKHVA MATE VI,NISHTHA,NMMS EXAM , Online Hajari , OUR WEB APPS DOWNLORD , Paripatra , PIRIODICAL ASSESSMENTEST, pm , prayers